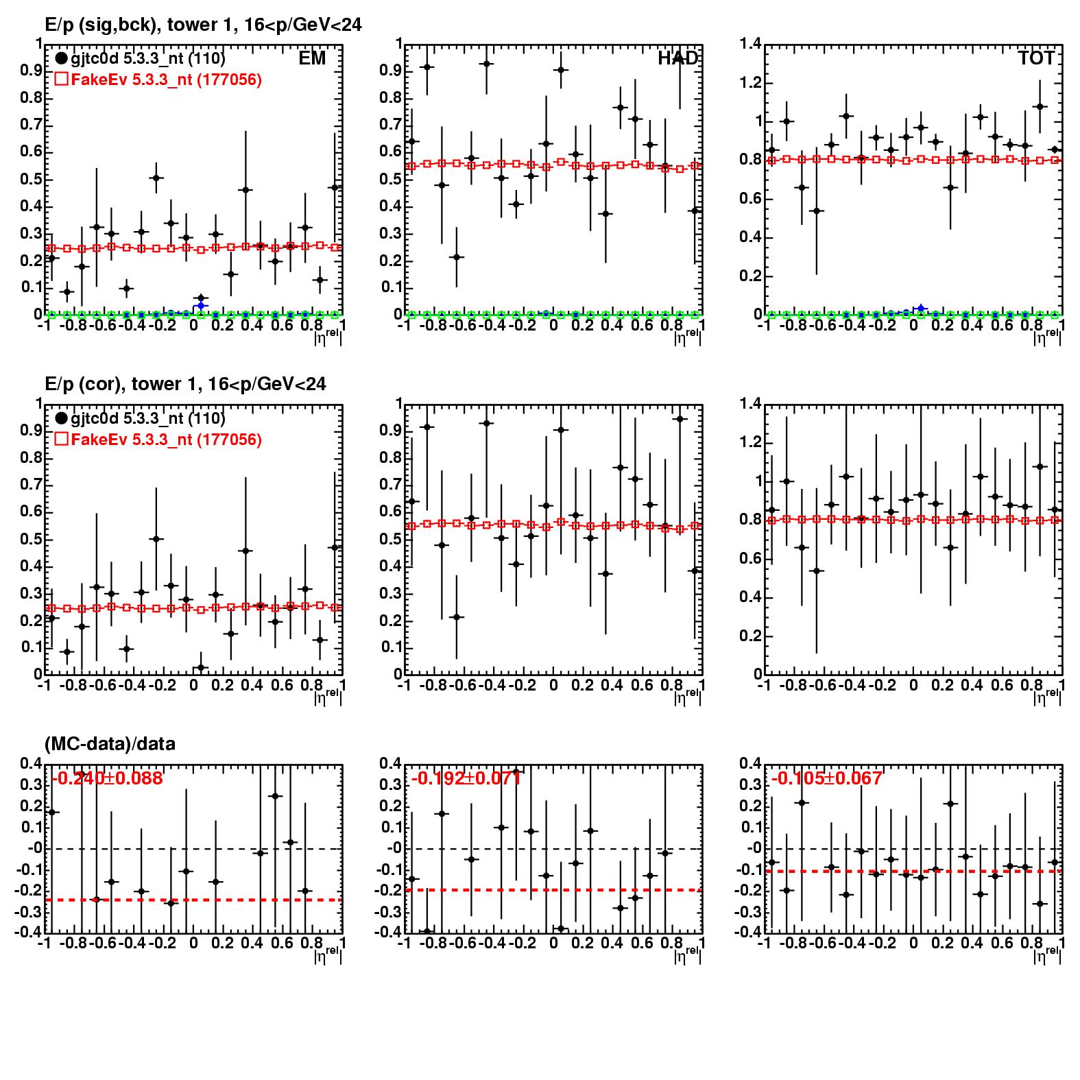
E/p vs. relative eta (target tower):

E/p vs. relative eta (target tower) | tower 1 | track momentum bin 16-24 GeV/c
.C file (1) .C file (2) .C file (3)
.C file (4) .C file (5) .C file (6)
.C file (7) .C file (6) .C file (9)

Generated: Sat Jul 2 18:38:43 PDT 2005
Pedro Movilla Fernandez

[Main]