E/p vs. relative eta (target tower):

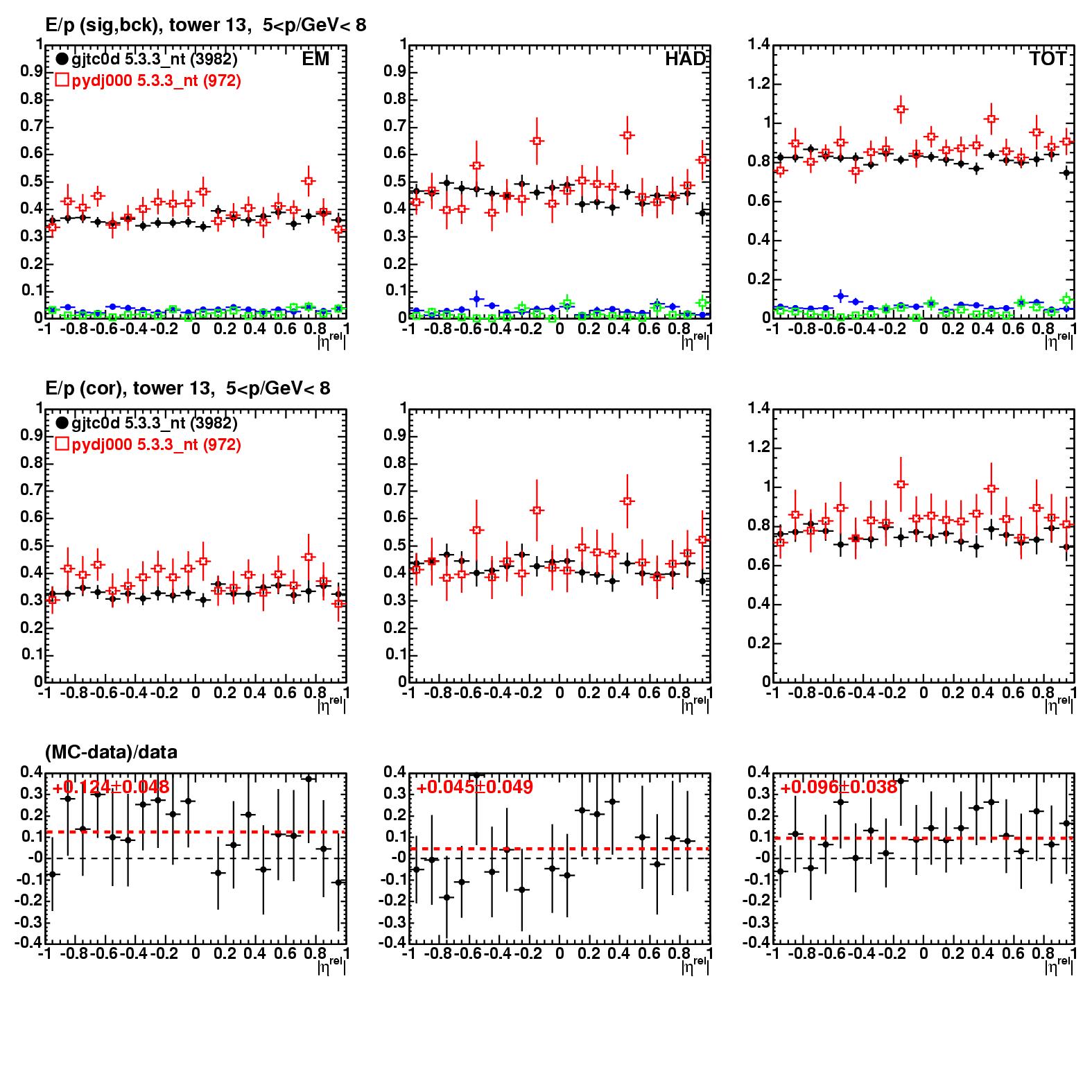
E/p vs. relative eta (target tower) | tower 13 | track momentum bin 5-8 GeV/c
.C file (1) .C file (2) .C file (3)
.C file (4) .C file (5) .C file (6)
.C file (7) .C file (6) .C file (9)

Generated: Mon Jul 18 14:18:40 PDT 2005
Pedro Movilla Fernandez

[Main]