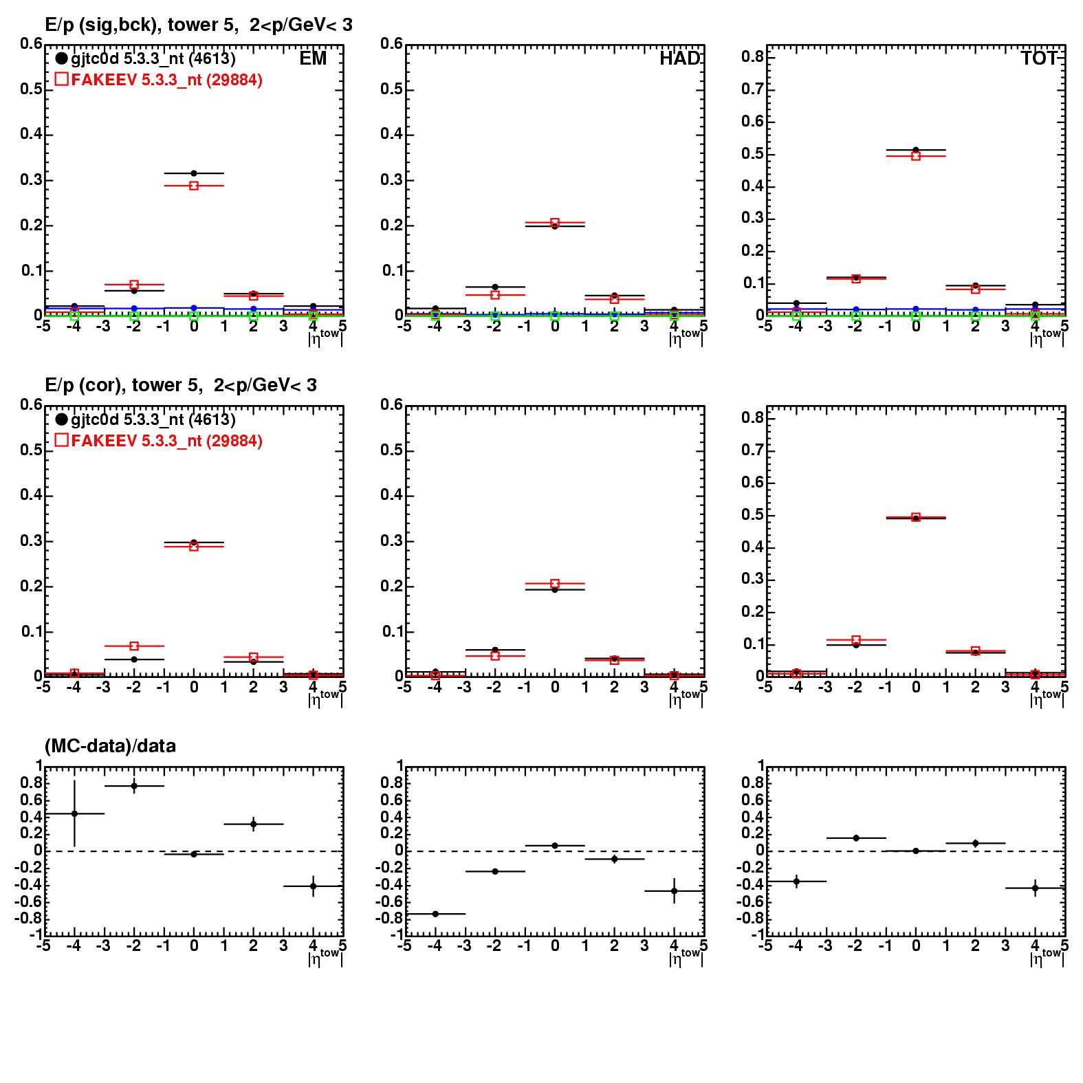
E/p vs. relative tower eta:

E/p vs. relative tower eta | tower 5 | track momentum bin 2-3 GeV/c
.C file (1) .C file (2) .C file (3)
.C file (4) .C file (5) .C file (6)
.C file (7) .C file (6) .C file (9)

Generated: Mon Jun 27 22:06:45 PDT 2005
Pedro Movilla Fernandez

[Main]