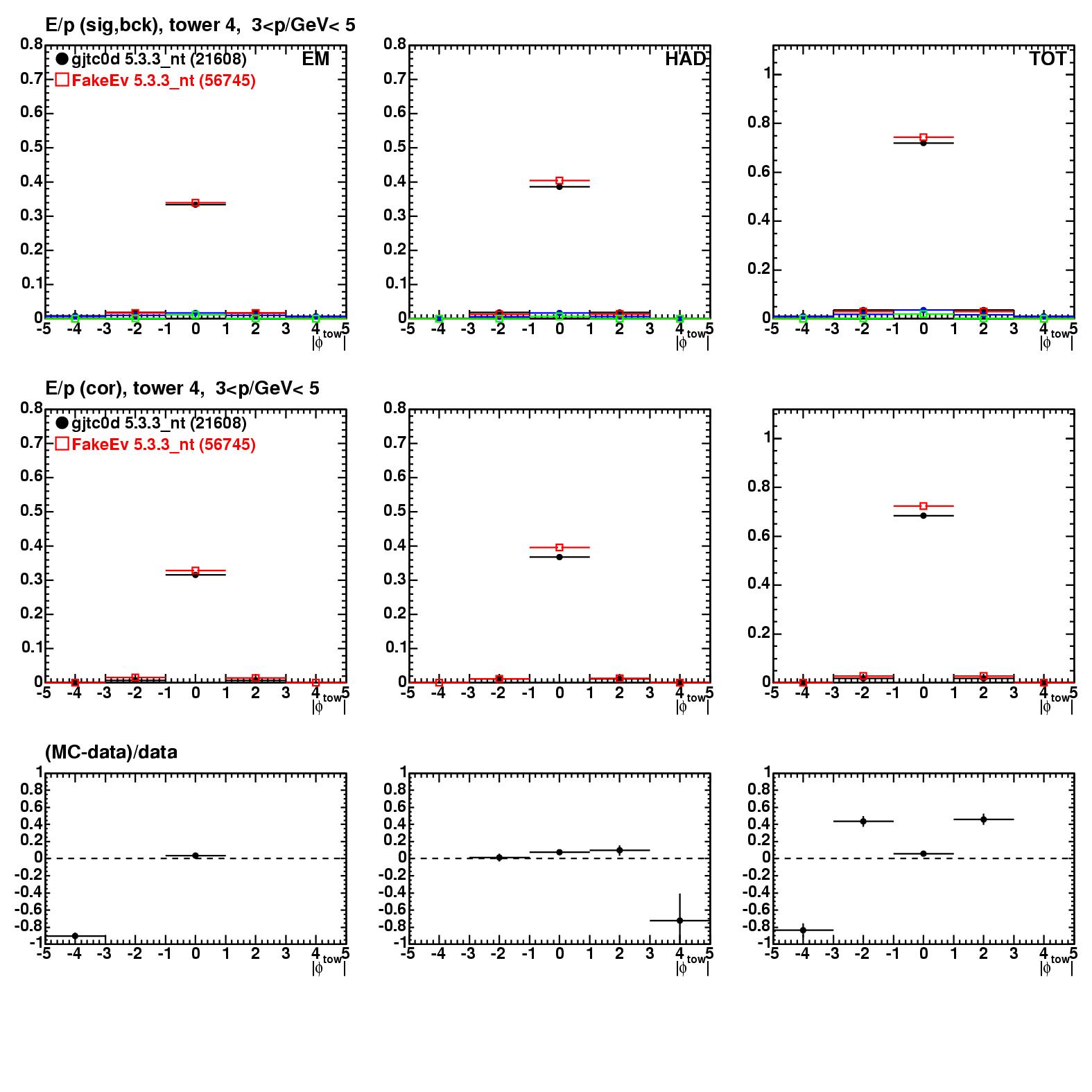
E/p vs. relative tower phi | tower 4 | track momentum bin 3-5 GeV/c | ||||||
---|---|---|---|---|---|---|
![]() |
![]() |
![]() |
![]() |
.C file (1) | .C file (2) | .C file (3) |
![]() |
![]() |
![]() |
.C file (4) | .C file (5) | .C file (6) | |
![]() |
![]() |
![]() |
.C file (7) | .C file (6) | .C file (9) |